IM7 (IM7APPS) I am Indie Dev, Develop apps for windows,android,ios. Contact me for app marketing/monetization/development Query's/ Consultancy.You can also contact for Advertise on my apps which has daily 50K+ views, or for any query's feedback of my apps or new ideas

Monday, 6 March 2017

All Math Formulas For Ios and windows phone

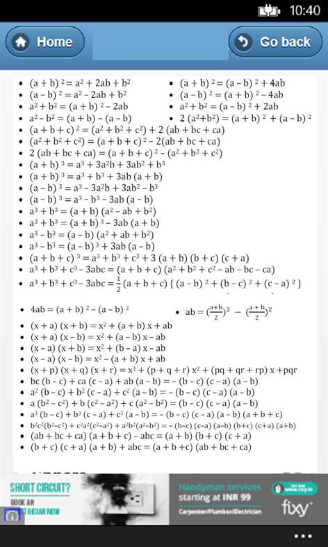
The application "All Math Formulas" is a collection of formulas out of mathematics and physics. All essentials math formula and equations: Algebra Geometry Trigonometry Calculus: Limits Derivatives Integrals
Screenshot
Screenshot


0 comments :

Post a Comment